![]() |
One can calculate different options by referring to interest tables or by simply using the formula describing the various functions. The capital recovery function (P/A) or how to find P once given A:
where
The compound amount factor (P/F) or how to find P once given F:
where
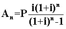
The capital recovery factor (A/P) or how to find A once given P:
where